首页
信息公开规章
信息公开栏目
依申请公开
公文公开
人才培养方案
电子与自动化学院
计算机与网络安全学院
软件与大数据学院
数媒与艺术设计学院
电子商务学院
监督投诉
招标采购网
首页
基本信息
招生考试信息
财务信息
人事师资信息
教学质量信息
学生管理服务信息
学风建设信息
对外交流与合作信息
其他信息
岗位实习
招生考试信息
首页
>>
招生考试信息
>>
正文
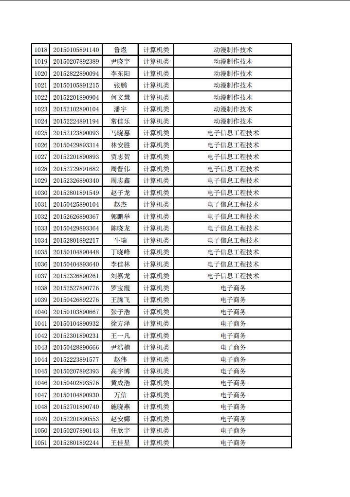
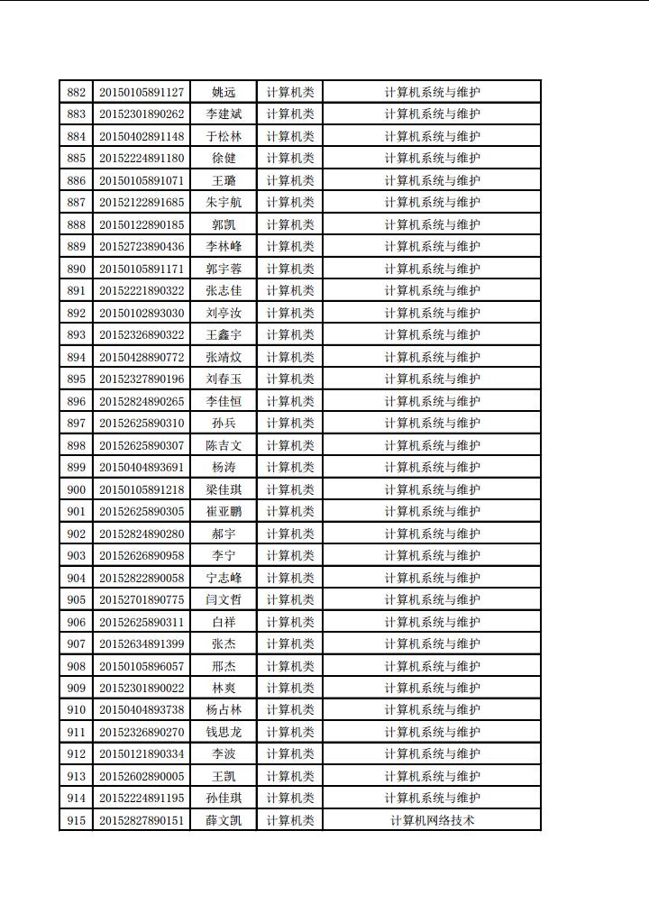
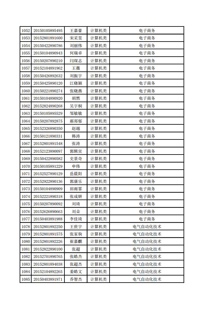
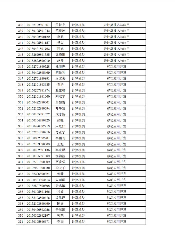
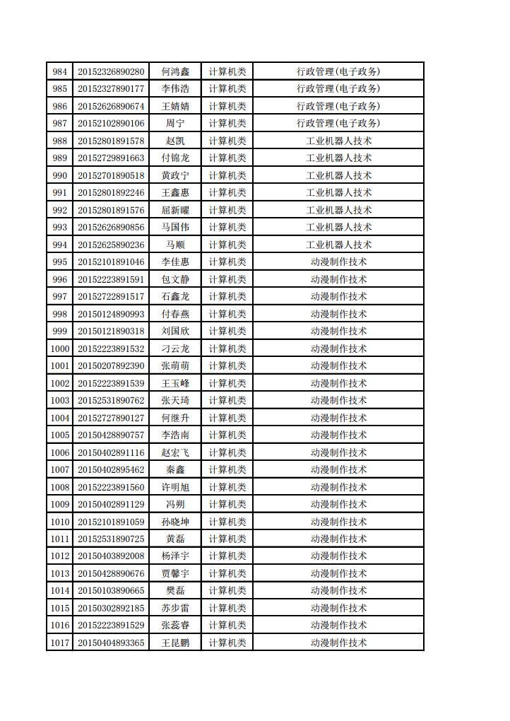
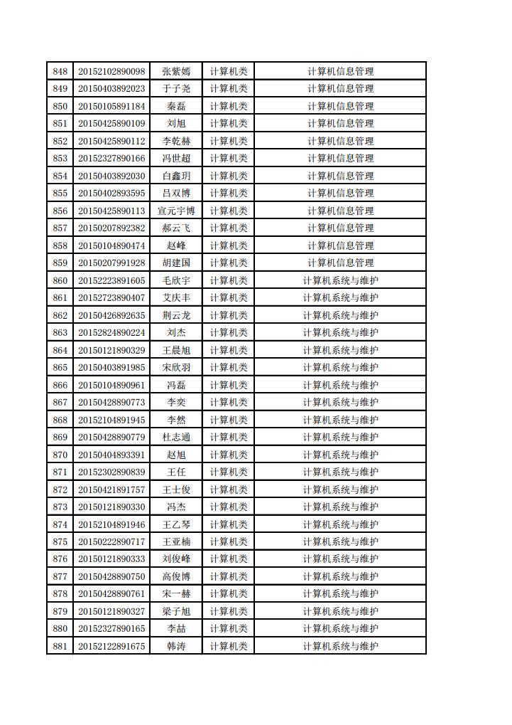
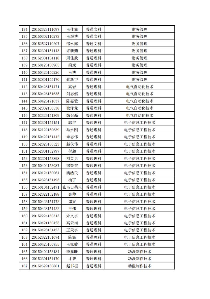
内蒙古电子信息职业技术学院2020年单独考试招生拟录取公示名单
作者:王旭
发布日期:2020-01-10
点击数:
上一条:
内蒙古电子信息职业技术学院推荐参加2020年河套学院专升本选拔考试学生名单公示
下一条:
2019年单独考试招生成绩公示